缓粘结预应力抗浮锚杆设计 与施工方法研究
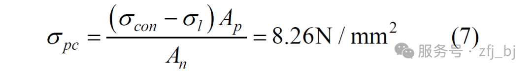
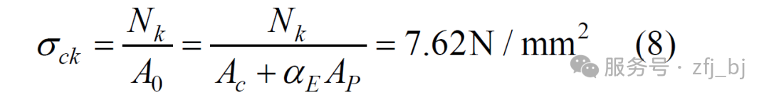
Hello大家好,我是“兆小通”,近年来随着城市地下水位持续回升,抗浮事故频发,工程界对抗浮构件的耐久性问题越来越重视。为提高抗浮锚杆抗裂性能和控制变形的能力,《建筑工程抗浮技术标准》(JGJ476-2019)中规定抗浮设计等级乙级及以上的工程,宜选择预应力抗浮锚杆。缓粘结预应力抗浮锚杆基于缓粘结预应力技术,因其力学性能可靠、耐久性能优异、综合效益明显等特点得到了广泛的应用。本文结合某博物馆工程,对缓粘结预应力抗浮锚杆的设计及施工进行了探讨,详细介绍了缓粘结预应力抗浮锚杆的设计计算过程和关键施工工艺,其中缓粘结预应力抗浮锚杆设计包括锚杆轴向拉力计算、锚杆抗拔承载力计算、锚杆杆体设计、锚杆耐久性设计和锚固节点设计。通过本文的研究可以为同类工程抗浮设计和施工提供一定的借鉴和参考。 引言 随着城市建设的快速发展,为了达到地下空间最大利用率,满足地下车库、地下商场、地下车站及其他功能性空间的需求,地下空间开发成为城市发展的必然趋势。随着生态补水的常态化,压采限采禁采的实施,加上丰沛的降水量等多方面因素的综合影响,城市地下水位持续回升。在设计施工中如果不考虑抗浮问题,极有可能引起底板起降开裂,梁柱节点破坏,墙柱剪切破坏等严重工程质量事故。近些年来抗浮事故频发,工程界对抗浮问题越来越重视。工程中为解决抗浮问题,目前主要采取控制、减小地下水浮力效应和增加结构抗浮能力两种思路,抗浮锚杆作为增加结构抗浮能力的典型代表,因其结构受力合理,后期维护简单,抗浮治理的长期成本较低成为目前广泛使用的抗浮治理方法[1-4]。 随着《抗浮锚杆技术规程》(YB/T4659-2018)、《建筑工程抗浮技术标准》(JGJ 476-2019)、《建筑结构抗浮锚杆》(22G815)等抗浮治理相关的标准、规范、图集的相继实施,其对抗浮构件的耐久性要求明显趋严。《建筑工程抗浮技术标准》中首次提出需对抗浮锚杆锚固体按照不同的抗浮等级进行裂缝控制,传统的非预应力抗浮锚杆难以满足规范中甲级和乙级耐久性要求,因而,采用预应力锚杆作为抗浮锚杆成为必然趋势。蒋凡[5]结合杭州市某工程,研究并介绍缓粘结预应力抗浮锚杆在基本试验、材料入场检验、施工工艺和验收检测等方面的重要特点。郑开平等[6] 提出了一种全长压力分散型后张缓粘结预应力抗浮锚杆设计。熊学炜[7]从理论上分析了缓粘结预应力抗浮锚杆受力机理,并结合受力机理与相关规范,对各项设计验算进行了分析,明确了验算内容与方法。谭光宇[8]等介绍了一种全长压力型后张预应力抗浮锚杆并对此预应力抗浮锚杆设计的关键技术进行了研究。缓粘结预应力抗浮锚杆是一种新型抗浮锚杆,其设计计算暂无专门规范可循。为此,本文结合秦皇岛市某博物馆工程,对其设计及施工过程进行详细探讨。 1 工程概况 秦皇岛市某博物馆采用框架剪力墙结构形式,地上3层,地下1层,主要建筑功能为展览、办公、游客服务、库房。基础采用筏板基础和柱下独立基础/墙下条形基础,场地±0.00 = 62.15 m,基底标高-6.75 m。基础底板以下地层情况如下: ④层强风化花岗岩:灰白 ~ 青灰色,中粗粒结构,块状构造,主要成分为石英、长石、黑云母等,原岩结构尚可辨,岩芯主要呈柱状,矿物成分清晰可见,风化不均,局部夹少量中风化岩块。该层在场地中均有分布。属软岩,岩体基本质量等级为Ⅳ级。 ⑤层中风化花岗岩:灰白~青灰色,中粗粒结构,块状构造,主要成分为石英、长石、黑云母等,原岩结构清晰,岩芯较完整,短柱状为主,夹少量碎块状,局部石英含量高。该层在场地中均有分布。属较硬岩,岩体基本质量等级为Ⅲ级。该层未能揭穿,最大揭露厚度20.00m。 场地内稳定水位埋深为3.90 ~ 6.00米,水位标高为57.24~62.50米。地下水类型主要为基岩裂隙水,赋存于③层全风化花岗岩及④层强风化花岗岩中。地下水受季节性影响较大,主要靠大气降水和侧向径流的补给,以蒸发和侧向径流排泄为主。根据勘察期间测得地下水位情况及基础埋深,基础位于地下水位以下,需考虑建筑的抗浮问题,进行专门的抗浮设计,抗浮设防水位按室外地坪以下1.0米考虑。场地环境类型为Ⅱ类,考虑干湿交替作用,地层渗透性为弱透水层,场地地下水对混凝土结构具微腐蚀性,在干湿交替环境条件作用下对钢筋混凝土结构中的钢筋具微腐蚀性。场地土对混凝土结构的腐蚀性为微腐蚀性,对钢筋混凝土结构中的钢筋的腐蚀性为微腐蚀性。 缓粘结预应力抗浮锚杆 抗浮锚杆根据能否施加预应力,可分为非预应力抗浮锚杆和预应力抗浮锚杆,非预应力锚杆指地层中不施加预应力的全长粘结型或摩擦型锚杆,其施工工序简单,不用施加预应力,但注浆体易开裂、钢筋易锈蚀,耐久性能不足,同时,对底板变形控制能力弱。预应力锚杆是指将张拉力传递到稳定的或适宜的岩土体中的一种受拉杆件(体系),一般由锚头、锚杆自由段和锚杆锚固段组成,其能够施加预应力,可有效改善锚固体应力状态,同时有效控制底板变形。 预应力锚杆按照结构及传力机理可分为压力型预应力锚杆和拉力型预应力锚杆,压力型锚杆应由不与灌浆体相互粘结的带隔离防护层的杆体和位于杆体底端的承载体及锚头组成,其将张拉力直接传递到杆体锚固段末端,且锚固段注浆体处于受压状态。拉力型锚杆应由与注浆体直接粘结的杆体锚固段、自由段和锚头组成,其将张拉力直接传递到杆体锚固段,锚固段注浆体处于受拉状态。 按照粘结方式,预应力锚杆可分为有粘结预应力抗浮锚杆、无粘结预应力抗浮锚杆及缓粘结预应力抗浮锚杆。有粘结预应力抗浮锚杆的锚固段处于受拉状态,不能实现锚固体无裂缝设计;锚固段筋体与注浆体直接接触,注浆不密实及锚固体开裂后受地下水影响,筋体易腐蚀,耐久性一般。无粘结预应力抗浮锚杆使用无粘结预应力技术,能够实现锚固体无裂缝设计,杆体中预应力始终靠两端锚具夹持支撑。在复杂的地下水土环境中锚具易锈蚀失效,同时,在频繁变动的水浮力、地震动荷载等循环荷载作用下易导致锚具疲劳破坏,预应力丧失,从而造成锚杆失效,安全风险较大,同时,其施工难度大,施工质量难以保证。 针对上述传统抗浮锚杆中存在的不足,缓粘结预应力抗浮锚杆将缓粘结预应力技术与抗浮锚杆结合形成了新型的预应力抗浮锚杆,其出现很大程度上解决了有粘结预应力抗浮锚杆和无粘结预应力抗浮锚杆的缺点。所谓缓粘结预应力技术,是指通过缓粘结剂的固化实现预应力筋与混凝土之间从无粘结逐渐过渡到有粘结的一种预应力形式,其结构性能优异、施工工艺简单、质量易于控制。 缓粘结预应力抗浮锚杆通常包括缓粘结预应力筋体、注浆体、预应力固定端与张拉端。缓粘结预应力抗浮锚杆属于压力型锚杆,缓凝粘合剂固化前,通过预先张拉缓粘结预应力筋使锚固体处于受压状态,预应力靠锚具夹撑。缓凝粘合剂固化后,其与全长粘结型抗浮锚杆结构相似,预应力筋与锚固体协同工作来共同承受水浮力,即使锚具发生失效亦不影响预应力,力学性能可靠。同时,其能够实现锚固体无裂缝设计,筋体外围包裹的环氧粘合剂和高密度PE护套,起到双重防腐效果,耐久性能优异。 缓粘结预应力抗浮锚杆设计 缓粘结预应力抗浮锚杆设计主要包括整体稳定性验算、承载力计算、杆体设计、耐久性设计和锚固节点设计等,设计流程如图1所示。 图1 抗浮锚杆设计流程 综合考虑本工程结构抗浮设计等级、上部结构荷载、基础形式、地下结构底板变形控制要求、锚固地层条件、施工可行性及其适用条件及抗浮锚杆的耐久性问题,本算例采用压力型缓粘结预应力抗浮锚杆,锚固体直径为200mm,锚固体材料采用水下C35细石混凝土灌注(H40水泥基灌浆料),杆体材料采用15.2mm规格缓粘结预应力钢绞线。锚杆采用跨中均匀布置,间距为2.1m × 2.8m,平面布置图如图2所示,本文以6轴~9轴/ E轴~G轴区域为例进行设计计算。 图2 抗浮锚杆平面布置图/mm 扩展基础与结构底板刚度不同,扩展基础部分承受了结构传递下来的上部荷载,基础底板则没有额外荷载传递下来,更易出现因挠曲变形过大而导致的开裂问题,因而仅考虑基础底板下的水浮力作用。 3.1 锚杆轴向拉力计算 基础底板永久荷载标准值: 依据《建筑工程抗浮技术标准》[11](JGJ476-2019)6.2.1条,浮力标准值为 : 式中: 锚杆承受的净浮力为: 式中: 单根锚杆承担荷载标准值为: 单根锚杆拉力设计值为: 式中: 3.2 锚杆抗拔承载力计算 抗浮锚杆抗拔承载力计算包括锚固段注浆体与筋体的抗拔承载力计算及锚杆锚固段注浆体与地层间的抗拔承载力的计算,注浆体与筋体的抗拔承载力验算主要为防止筋体从非预应力锚杆及普通拉力锚杆的锚固体中拔出破坏,而缓粘结预应力抗浮锚杆的锚固体底部有固定端,不会发生此类破坏,故仅需对锚固段注浆体与地层间的抗拔承载力进行验算。 现行规范锚固体的抗拔承载力计算公式均为界面平均黏结强度与锚固体侧表面积的乘积,本文采用不同规范对锚固体抗拔承载力进行计算,本工程中强风化花岗岩属软岩,锚固段注浆体与地层间极限粘结强度标准值统一取为0.6MPa,结果见表1。 表1 锚杆锚固体抗拔承载力计算对比 由表1计算结果可以看出,《建筑工程抗浮技术标准》中锚固段长度的计算结果偏于保守。此外,依据《建筑工程抗浮技术标准》(JGJ476-2019)中7.5.5条,群锚呈整体破坏时,锚杆极限抗拔承载力标准值按式(5)计算。 式中: 经验算,锚杆总长度H = 9m时,群锚极限抗拔力标准值Rnd = 680kN,锚杆抗拔承载力特征值R = Rnd / 2 = 340kN >Nt=255.8kN ,满足规范要求。因而,对于缓粘结压力型预应力抗浮锚杆,不考虑锚杆自由段长度的要求,但为保证整体稳定要求,锚杆总长度受群锚承载力验算控制。 3.3 锚杆杆体设计 3.3.1 锚杆筋体截面面积计算 现行规范中通常采用分项系数法、安全系数法或其组合进行设计,表2为不同规范的计算结果对比。 表2 锚杆筋体截面面积计算对比 由表2可以看出《抗浮锚杆技术规程》和《建筑工程抗浮技术标准》中同时考虑了安全系数法和分项系数法,计算结果偏大,《建筑工程抗浮技术标准》中安全系数取为2.0,计算结果过于保守。《抗浮锚杆技术规程》中的安全系数1.15已经含了筋体由多根钢筋或钢绞线组成时彼此间受力不均匀的不利影响及构件重要性系数 3.3.2 锚固体裂缝验算 《岩土锚杆与喷射混凝土支护工程技术规范》中考虑锚杆受力变形及其对基础底板抗裂的影响,对于长期稳定水浮力作用下,以及变形控制要求较高的工程,锚杆的锁定拉力值宜为锚杆拉力设计值,本文中锁定拉力值取为锚杆拉力设计值,即Qld = 370kN,锚杆预应力筋的张拉控制应力scon = 881kPa,满足《岩土锚杆与喷射混凝土支护工程技术规范》中锚杆预应力筋的张拉控制应力scon不超过0.55fptk的要求。 《建筑工程抗浮技术标准》中7.5.8条规定,抗浮设计等级为乙级的工程,按裂缝控制进行设计,在荷载效应标准组合下锚固浆体中拉应力不应大于锚固浆体轴心受拉强度,并应满足式要求: 式中:sck为荷载效应标准组合下正截面法向应力;spc为扣除全部应力损失后,锚固浆体有效预压应力。 依据《混凝土结构设计规范》中相关规定进行计算,首先计算预应力损失,计算结果见表3。 表3 抗浮锚杆预应力损失计算 全部预应力损失为: 受压区预应力筋合力点处的混凝土法向压应力: 荷载效应标准组合下正截面法向应力: 由式(6)可得:为静水位差产生的浮力标准值;
为水的重度,取10kN/m;
为抗浮设防水位与地下结构底板底面地下水位差值,取5.75m。
为地下水荷载分项系数,由于抗浮计算采用静水压力,参考国内外规范,取为1.0;
为永久荷载分项系数,取为0.9。
为重要性系数,抗浮结构及构件结构设计中,抗浮设计等级为乙级时取1.05。
为群锚体极限抗拔力标准值;
为假定上半部分长方形、下半部分圆锥形破裂体内按浮重度计算的岩土体自重荷载标准值;
为圆锥体破裂面上的岩土体极限抗拉力标准值;a、b为锚杆布置的纵向、横向间距;
为半锥角,取锥尖范围内岩土体平均内摩擦角,取35°;H为锚杆总长度,包括锚固段长度和构造段长度;
为破裂体内岩土体平均浮重度标准值;
为锥体破裂面岩土体平均极限抗拉强度标准值。
,且能够满足验收试验要求,故本文采用该方法的计算结果,选用3束15.2规格缓粘结预应力钢绞线,面积为420mm2。
